Linearity evaluation software for method validation Polynomial regression with nonlinearity testing per EP06-A — weighted models, adjustable measuring intervals, and formal equivalence testing to determine the reportable range.

Determine where the assay is linear — and where it isn’t

Patient results outside the linear range of a measurement procedure can’t be reported directly — they need dilution, concentration, or a qualifier. Defining that range incorrectly means either reporting unreliable results or unnecessarily restricting the reportable interval. EP06-A provides the statistical framework: fit polynomial models, quantify the deviation from linearity, and test whether it falls within limits that are clinically acceptable.

Analyse-it fits polynomial models up to 5th order with formal nonlinearity testing against an allowable goal. Adjust the measuring interval interactively to find where the assay is linear, run equality or equivalence tests, and see exactly where and by how much the deviation occurs on the difference plot.

I used Analyse-it for many product development, product troubleshooting, and technology evaluation activities... your product was the easiest to use, was accurate, and produced publication ready reports.
Stanley F. Cernosek, Ph.D.
Clinical Chemistry Reagent Development
Beckman Coulter, Inc.

What's included

Polynomial regression with stepwise and manual model selection

Linear through 5th-order polynomials. Forward stepwise selection or manual choice. Linearity plot overlays the linear and nonlinear fits so you can see where they diverge. Weighted models for non-constant precision across the measuring interval.

Nonlinearity testing with Hsieh-Liu confidence intervals

Test equality (is there significant nonlinearity?) and equivalence (is nonlinearity within an allowable limit — such as ±5%?) using Hsieh-Liu confidence intervals on the difference between the linear and best-fitting nonlinear model. Difference plot with allowable nonlinearity band shows where deviations occur and by how much.

Adjust the measuring interval to find the linear range

Restrict the upper or lower end of the measuring interval and re-run the analysis to determine the reportable range — for product labelling or your laboratory’s reporting limits.

Emancipator-Kroll linearity

Alternative linearity assessment alongside the EP06-A polynomial approach.

Example analyses

See linearity evaluation results in detail — polynomial fits, difference plots, and nonlinearity testing — using CLSI example datasets you can download and follow along with.

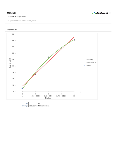
EP06 A Example 1 EP06-A — Appendix C
IgM linearity evaluation.
5 dilutions × 2 observations. Linear and 2nd order polynomial fits. Difference plot with ±5% allowable nonlinearity band.
EP06 A Example 2 EP06-A — Appendix C
Calcium linearity evaluation.
6 dilutions × 2 observations. Linear and 3rd order polynomial fits with difference plot and allowable nonlinearity band.

Part of measurement system analysis

Linearity is one part of measurement system analysis, alongside precision (EP05-A3), bias/trueness verification (EP15-A3), interference evaluation (EP10-A3-AMD), and detection capability (EP17-A2).

See the full MSA workflow on the measurement system analysis page →

Software you can trust

Validated calculations you can defend at inspection Every calculation is performed by Analyse-it — no Excel formulas, no third-party functions. Results are validated against CLSI reference datasets, published datasets, and thousands of internal test cases before every release. See how we develop and validate Analyse-it →
Data stays in your facility Analyse-it runs entirely within Microsoft Excel on your PC. No cloud processing, no data transmission. Pre-submission data, patient-adjacent data, and in-process results stay within your facility under your own data governance controls.
Standard Excel workbooks anyone can open Every analysis is an ordinary .xlsx workbook. Share with colleagues, submit to regulatory affairs, archive for audit, open on any PC with Excel. No proprietary format, no licence required to view results. Colleagues and auditors see exactly what you see.
Results that can’t be accidentally broken Analysis output contains computed values, not formulas. Nothing to accidentally overwrite, no cell references to break, no formula errors to introduce. The results you reported are exactly what you’ll find when you reopen the workbook months or years later for an audit.

Technical details

CLSI protocols

  • EP06-A: Evaluation of the Linearity of Quantitative Measurement Procedures

Regression models

  • Linear fit
  • Polynomial fit (2nd to 5th order)
  • Forward stepwise polynomial fit
  • Best (2nd or 3rd) polynomial fit
  • Weighted models for non-constant precision new in v5.00

Nonlinearity testing

  • Difference between linear and nonlinear fit
  • Hsieh-Liu confidence intervals
  • Equality test (no nonlinearity)
  • Equivalence test (nonlinearity within allowable limit)
  • Emancipator-Kroll linearity

Measuring interval

  • Adjustable measuring interval to find linear range new in v5.00

Plots

  • Linearity plot with linear and polynomial fits
  • Difference plot with allowable nonlinearity band